< Back to Hoof & Hide Main Website
Fullblood Bull "Sonny" - 20 Months 
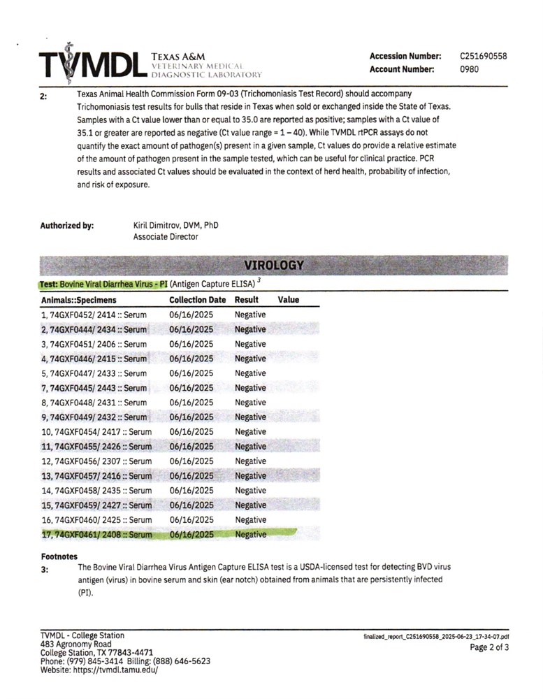
Ear Tag 2408 - Reg # 65245
Click Here for Link to Registration Papers
Bull 2408 "Sonny" (Reg # 65245) is a Fullblood 100% South Poll. He was born on our ranch on January 22, 2024 weighing 74 lbs. He is a great-grandson of Broadway (sire's side) and a grandson of R416 on his dam's side. Sonny's dam has produced two other bulls for us, Bull 1907 (you can see a picture of Bull 1907 here) and Bull 2123, both of which we have used on our herd. She is currently 12 1/2 years old and is bred back to calve again in 2026. Sonny's sire is Bull 1948 (you can see a picture of Bull 1948 here). Sonny's grandmother is Cow 1015, a 10-year-old cow we bought in 2016 as a 14-month-old heifer. She has produced four bulls for us, three of which we have used on our herd. Sonny is a good tempered bull that stands behind one strand of hotwire and is rotationally grazed. He has been exclusively grass-fed and had access to quality minerals. He is a virgin bull. If you want South Poll genetics but love the look of a Hereford, this may be the bull for you. This bull is not part of our current auction and is first-come-first serve private treaty. Call us at 903-681-4211 to schedule a viewing, ask questions, or to purchase the bull. Sonny has passed his breeding soundness exam and has a negative trich test and is negative for BVD PI. He is ready to go to work.