< Back to Hoof & Hide Main Website
Fullblood Bull "Rupert" - 20 months 
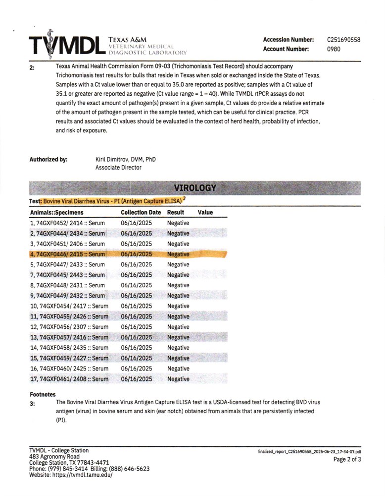
Ear Tag 2415 - Reg # 65249
Click Here for Link to Registration Papers
Bull 2415 "Rupert" (Reg # 65249) is a Fullblood 100% South Poll. He was born on our ranch on January 26, 2024 weighing 68 lbs. He is a grandson of Romeo and a great-grandson of Broadway, Bubba Joe, Cassanova, and Dandy. Rupert's dam is a 10-year-old cow that is still in our herd and is bred back to calve again in 2026. Rupert's sire is Bull 1948 (you can see a picture of Bull 1948 here). Rupert's grandmother is Cow 1015, a 10-year-old cow we bought in 2016 as a 14-month-old heifer. She has produced four bulls for us, three of which we have used on our herd. Rupert is a good tempered bull that stands behind one strand of hotwire and is rotationally grazed. He has been exclusively grass-fed and had access to quality minerals. He is a virgin bull. This bull is not part of our current auction and is first-come-first serve private treaty. Call us at 903-681-4211 to schedule a viewing, ask questions, or to purchase the bull. He has passed his breeding soundness test. He has tested negative for BVD PI. His trich test is pending and should be ready the week of 10/13/25.