< Back to Hoof & Hide Main Website
***SALE PENDING*** Fullblood Bull "Stuart" - 20 months 
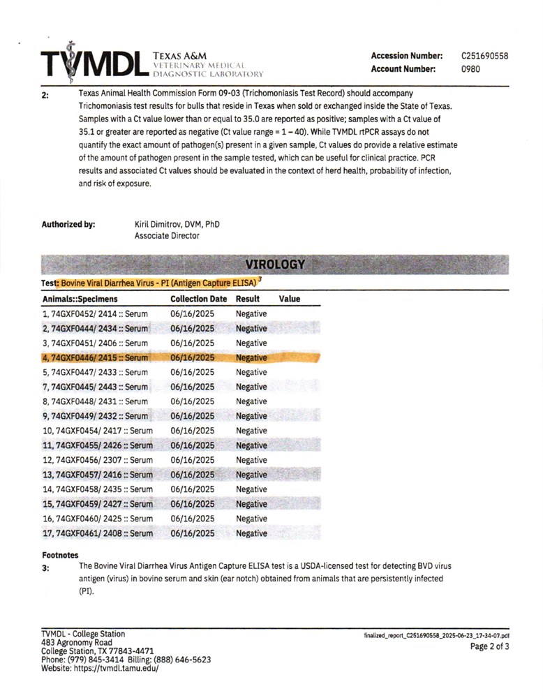
Ear Tag 2427 - Reg # 67800
Click Here for Link to Registration Papers
Bull 2427 "Stuart" (Reg # 67800) is a Fullblood 100% South Poll. He was born on our ranch on February 4, 2024 weighing 72 lbs. He descends from Broadway, Bubba Joe, and Chief. Stuart's dam was a 2nd calf heifer when she had him. She is remains in our herd and is bred back to calve again in 2026. Stuart's sire is Bull 1948 (you can see a picture of Bull 1948 here). Stuart's grandmother is Cow 1015, a 10-year-old cow we bought in 2016 as a 14-month-old heifer. She has produced four bulls for us, three of which we have used on our herd. Stuart is a good tempered bull that stands behind one strand of hotwire and is rotationally grazed. He has been exclusively grass-fed and had access to quality minerals. He is a virgin bull. This bull is not part of our current auction and is first-come-first serve private treaty. Call us at 903-681-4211 to schedule a viewing, ask questions, or to purchase the bull. His trich test is pending and should be ready the week of 10/13/25.