< Back to Hoof & Hide Main Website
Fullblood Bull "Arthur" - 20 months 
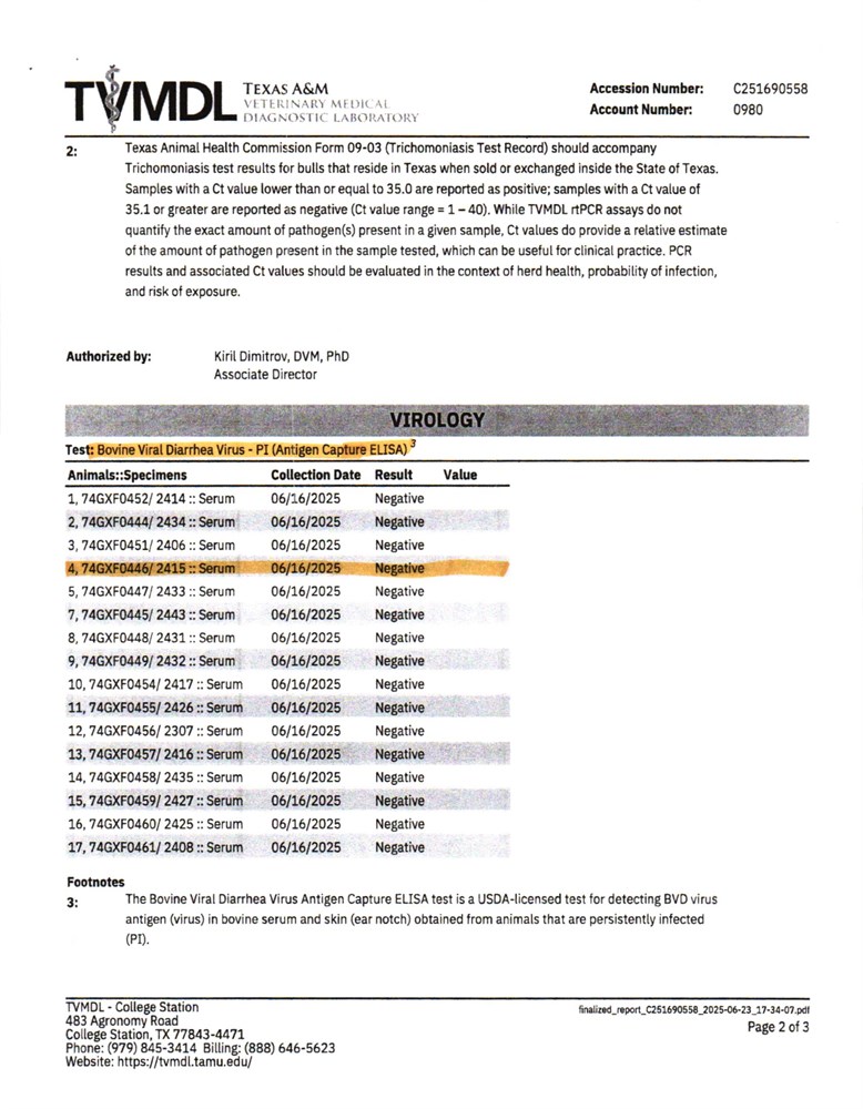
Ear Tag 2432 - Reg # 67206
Click Here for Link to Registration Papers
Bull 2432 "Arthur" (Reg # 67206) is a Fullblood 100% South Poll. He was born on our ranch on February 8, 2024 weighing 74 lbs. He descends from Broadway, Bubba Joe, and Chief. Arthur's dam is an 8-year-old cow that is still in our herd and bred back to calve again in 2026. Arthur's sire is Bull 1948 (you can see a picture of Bull 1948 here). Arthur's grandmother is Cow 1015, a 10-year-old cow we bought in 2016 as a 14-month-old heifer. She has produced four bulls for us, three of which we have used on our herd. Arthur is a good tempered bull that stands behind one strand of hotwire and is rotationally grazed. He has been exclusively grass-fed and had access to quality minerals. Arthur got out once with the cows for a day or two, but the cows were already bred with just a few exceptions. This bull is not part of our current auction and is first-come-first serve private treaty. Call us at 903-681-4211 to schedule a viewing, ask questions, or to purchase the bull. Arthur has passed his breeding soundness exam and has tested negative for BVD PI. His trich test is pending and should be ready the week of 10/13/25.